在成本与通量之间达成完美平衡
4 通道Octet® R4 系统提供了一种先进的无流路分析方法,配合各种现成的浸入即读生物传感器,适用于快速结合动力学和定量分析。该系统利用赛多利斯的非标记生物层干涉技术(BLI),可直接检测特定蛋白和其他生物分子——甚至是在细胞培养上清液和裂解液等复杂混合物中。该系统在通量和成本这两个关键因素之间取得超卓平衡,可提供比2 通道Octet® R2 更高的通量,以及与8通道Octet® R8相同的灵敏度,且成本更低。
产品主要特点与优势
• 专为寻求高性价比系统的客户量身设计
• 可灵活地升级为 8通道Octet® 系统,满足高通量和GMP规范需
• 获得高质量动力学筛选和亲和力表征
• 非流路的浸入即读检测可缩短测定时间并降低维护成本
• 兼容粗样品,无需进行样品预处理,可节约宝贵的时间
• 四个平行的独立的通道,可快速提供结果
• 可检测分析从小分子到病毒等各种生物分子
• 非破坏性检测,珍贵样品可被保留用于其他测定
• 样品板具备降温功能,适合温度敏感型蛋白的测定
• 易于学习,方便使用
• 集成式数据采集分析软件,无需依赖其他外部软件
动力学和亲和力表征
Octet® R4系统会实时监测结合事件,将检测表面直接定位在样品上,计算结合速率(ka)、解离速率(ka)和亲和力常数(ka),无需采用微流路技术。样品板的温度可控制在15–40°C之间,便于在不同的温度下对温度敏感型蛋白质进行可靠的动力学测定。样品冷却的其他优势还包括在多个温度下快速测定结合速率常数,推断出热力学测量值。

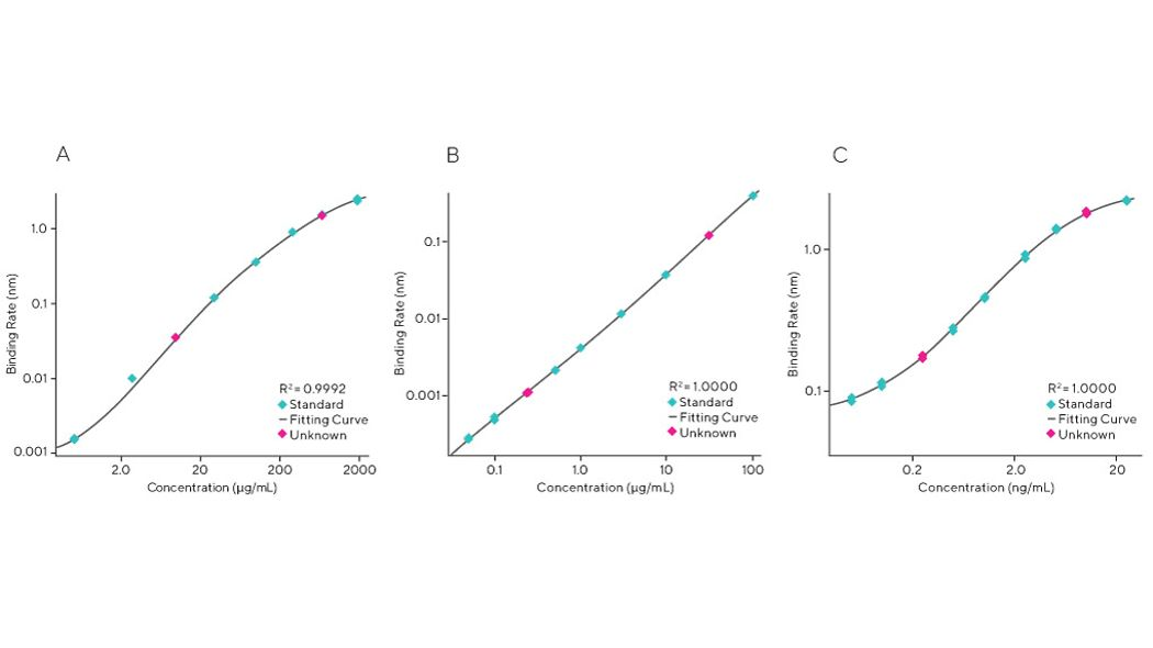
生物工艺中的蛋白质定量
准确测定抗体和其他蛋白质的浓度对于细胞系开发和抗体生产优化至关重要。Octet® R4系统可直接测定溶液中是否存在特定的蛋白和其他分子,受复杂基质干扰的程度最小,另外,且使用简单的一步法,只需2分钟,即可测出每个样品可重复浓度。周转时间快,可提高工艺效率和生产率,而其他方法(如HPLC和ELISA)却无法实现这一点。

电话 :
地址 :
电话 :
地址 :
电话 :
地址 :